鉅大鋰電 | 點擊量:0次 | 2018年05月01日
關于鋰離子電池線性充電解決方案
隨著現代電子技術的發展,電子設備日益趨于便攜化、多功能化,因此也對它們的供電電池提出了輕便、高效的要求。鋰離子電池以其能量密度高、充放電性能優異、無污染等特點逐漸取代傳統的鎳鎘、鎳氫電池、鉛酸電池被廣泛應用于現代便攜式電子產品中。
相對于其他類型電池,鋰離子電池在性能優異的同時也對充電器提出了更高的要求,這些要求主要體現在充電過程的控制和鋰電池保護方面,具體表現為較大的充電電流、高精度的充電電壓、分階段的充電模式和完善的保護電路等。
本文討論使用大電流鋰離子電池充電芯片SE9018設計鋰離子電池線性充電方案。
芯片介紹
SE9018是一款恒流/恒壓模式的鋰離子電池線性充電芯片,采用內部PMOSFET架構,并集成有防倒充電路,不需要外部隔離二極管。
芯片預設充飽電壓為4.2V,精度為±1.5%,充電電流可通過外部電阻進行設置,最大持續充電電流可達1A。當芯片由于工作功率大、環境溫度高或PCB散熱性能差等原因導致結溫高于140℃時,內部熱反饋電路會自動減小充電電流,將芯片溫度控制在安全范圍之內。為使芯片能夠維持高效工作狀態,應采取措施盡量降低芯片工作功率和芯片溫度,例如輸入端串聯小電阻(降低輸入電壓)、增大PCB散熱銅箔面積、使芯片散熱片與PCB銅箔充分接觸等。
圖1SE9018腳位圖

圖2SE9018原理圖

SE9018內部集成電池溫度監測電路,當電池溫度超出正常范圍(過高或過低)時,芯片自動停止充電過程,防止電池因為溫度過高或過低而損傷。
電池溫度監測是通過判斷TEMP端電壓(VTEMP)實現的,VTEMP由一個包括電池內部NTC熱敏電阻在內的電阻分壓網絡提供。
當VTEMP處于45%×VCC與80%×VCC之間時,芯片判斷電池溫度處于正常范圍內;當VTEMP<45%×VCC或VTEMP>80%×VCC時,芯片判斷電池溫度過高或過低;當TEMP端接地時,電池溫度監測功能被禁用。
SE9018包含兩個漏極開路的狀態指示輸出端CHRG和STDBY,當電路處于充電狀態時,CHRG端置低電平,STDBY端為高阻態;當電池充飽時,CHRG端變為高阻態,STDBY端置低電平。當電池溫度監測功能正常使用時,如果芯片未連接電池或電池溫度超出正常范圍,CHRG端和STDBY端均為高阻態;當電池溫度監測功能被禁用時,如果芯片未連接電池,STDBY端為低電平,CHRG端輸出脈沖信號。
SE9018的其他功能包括手動停機、欠壓閉鎖、自動再充電等。
典型的基于SE9018的鋰離子電池充電電路如圖3所示。CE端為高電平時,SE9018正常工作。
智能大電流鋰離子電池線性充電方案

圖3SE9018典型應用電路
1.充電電流的設置
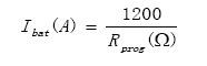
恒流充電過程中的充電電流Ibat由PORG端與GND端之間的電阻Rprog設定,Ibat與Rprog阻值的關系為:

公式1
例如,如果想得到1A的恒定充電電流,根據公式1可得Rprog=1200Ω。
2.電池溫度監測電路設置
電池溫度監測電路的設置主要是對R1和R2進行設置,假設NTC熱敏電阻在最低工作溫度時的電阻為RTL,在最高工作溫度時的電阻為RTH(RTL與RTH的數據可查相關電池手冊或通過實驗得到),則R1,R2的阻值分別為:

公式2

公式3
在實際應用中,如果只需要高溫保護,不需要低溫保護,可以將R2去掉。此時,R1的阻值為:

公式4
3.手動停機設置
在充電過程中,可隨時通過置CE端為低電平或去掉Rprog(PROG端浮置)將SE9018置于停機狀態,此時電池漏電流降至2uA以下,輸入電流降至70uA以下。
4.欠壓閉鎖狀態
若輸入電壓VCC低于欠壓鎖定閾值或VCC與電池電壓Vbat之差小于120mV,SE9018處于欠壓閉鎖狀態。
當芯片處于停機狀態或欠壓閉鎖狀態時,CHRG端與STDBY端均為高阻態。
5.正常充電工作周期
當SE9018的各輸入端與電池均處于正常狀態時,充電電路進入正常充電周期,此周期包括四種基本工作模式:涓流充電、恒流充電、恒壓充電、充電結束與再充電。
若電池電壓Vbat低于2.9V,充電電路進入涓流充電模式,此時充電電流為恒流充電電流的十分之一(如果恒流充電電流被設置為1A,則涓流充電電流為100mA),涓流充電狀態會一直保持到電池電壓Vbat達到2.9V。涓流充電模式主要是為了避免電池電壓太低時大電流沖擊給電池內部結構帶來的損害。
電池電壓高于2.9V但小于預設充飽電壓4.2V時,充電電路處于恒流充電模式,如上所述,充電電流由Rprog確定。
電池電壓達到4.2V時,充電電路進入恒壓充電模式,此時BAT端電壓維持在4.2V,充電電流逐漸減小。此過程的主要作用是減小電池內阻對于充飽電壓的影響,使電池充電更加充分。
下一篇:鑒別鋰離子電池真假的鑒定器










